

0
Anzahl mit Risiko
Gem
GemCap
366
364
302
328
207
219
109
139
61
83
27
50
9
19
3
10
0
1
0
10
20
30
40
50
60
70
80
90
100
10
20
Gemcitabin
Dauer seit Randomisierung (Monate)
Gesamtüberleben (%)
Gemcitabin plus Capecitabin
30
40
50
60
70
80
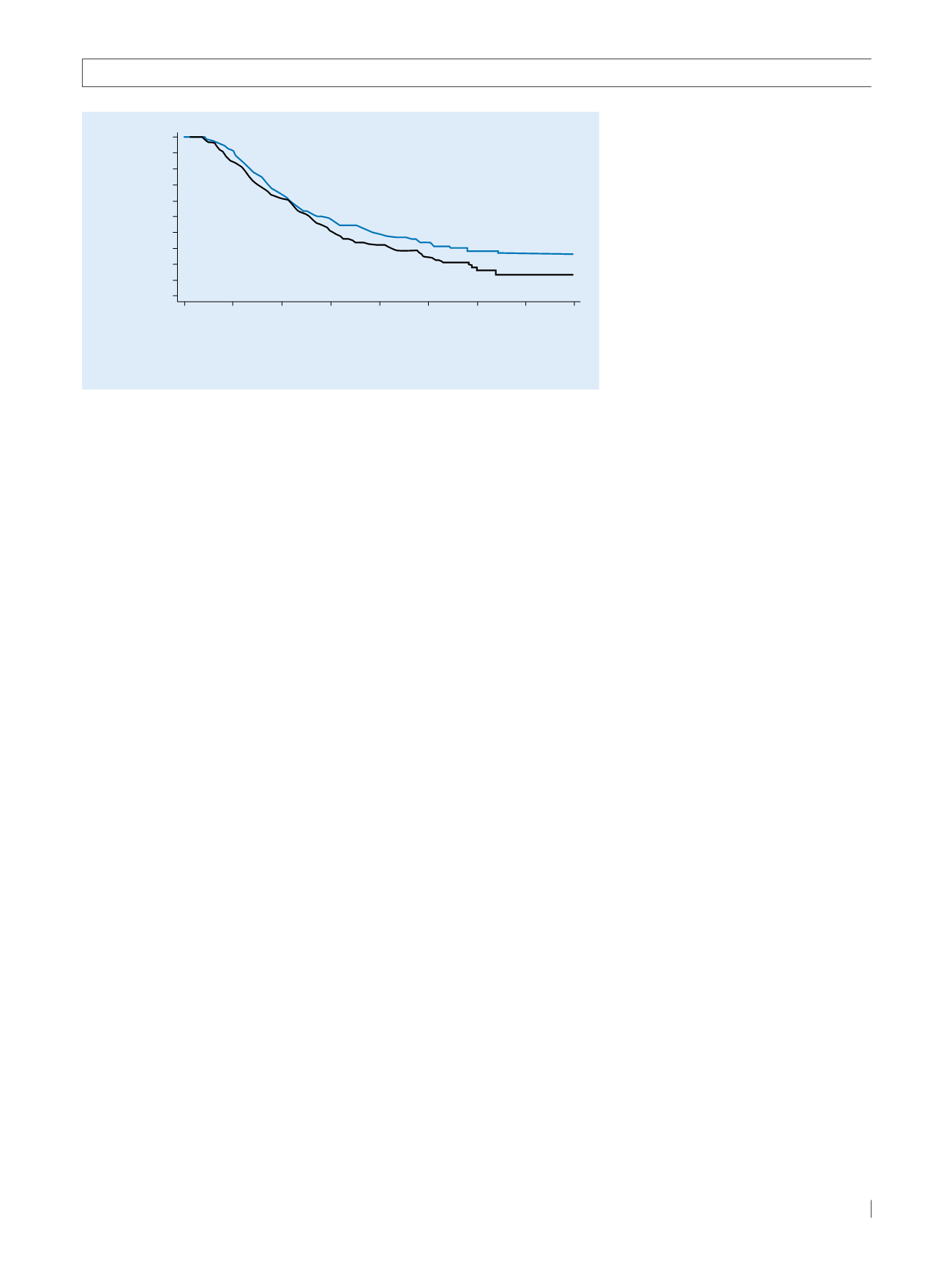
3-Jahres-Überlebensrate
Operation plus Gemcitabin: 16%
Operation plus Capecitabin und Gemcitabin: 29%
Abb. 3
8
Für Patientenmit Pankreaskarzinom, die nach einer Operation eine adjuvante Therapie aus
Gemcitabin plus Capecitabin erhielten, wurde das Gesamtüberleben imVergleich zu denjenigen, die
adjuvant nur mit Gemcitabin behandelt wurden, signifikant verlängert.
Gem
Gemcitabin,
Cap
Capeci-
tabin. (Mit freundl. Genehmigung von Prof. Dr. J. P. Neoptolemos, Liverpool, ASCO 2016)
Nach 3 Jahren war es in der CEM-
Gruppe bei 48,8 ± 4,0 % der Kinder zu
keinem Ereignis gekommen vs. 61,8 ±
4,1 % in der TC: CEM-Gruppe (
p
=
0,0082;
.
Abb.
2 ). Die Überlebensraten
nach 3 Jahren unterschieden sich nicht
signifikant (69,0 %vs. 73,8 %;
p
=0,2563).
An Nebenwirkungen kam es zu Infek-
tionen, Schleimhautentzündungen und
hepatischer Toxizität, aber diesbezüglich
waren die Unterschiede zwischen den
beiden Gruppen nicht signifikant. Diese
Studie würde nach Ansicht der Autorin
J. R. Park, Washington, den bisherigen
Standard, diese Kinder zu behandeln,
ändern.
Pankreaskarzinome
Längeres Überleben nach
Pankreasoperation durch
Chemotherapiekombination
mit Capecitabin
In einer europäischen Phase-3-Studie –
einer der größten jemals bei Pankreas-
krebs durchgeführten – konnte gezeigt
werden, dass orales Capecitabin, wenn
es einer Gemcitabin-Therapie in der
Adjuvanz hinzugefügt wird, das Über-
leben der Patienten verlängert
[ 6 ]. In
die ESPAC-4-Studie wurden zwischen
Oktober 2008 und September 2014
732 Patienten mit operablem duktalem
Adenokarzinom des Pankreas in frühem
Stadium rekrutiert. Zwölf Wochen nach
erfolgter Operation wurden sie rando-
misiert und in beiden Armen 24Wochen
lang adjuvant behandelt, entweder mit
Gemcitabin (1000 mg/m
2
Tage 1, 8, 15;
6 Zyklen) oder mit Gemcitabin in der
gleichen Dosierung plus Capecitabin
(1660 mg/m
2
/Tag; 21 von 28 Tagen).
Im November 2015 erfolgte die Ana-
lyse desOS, demersten Studienendpunkt
durch ein unabhängiges Komitee. Das
mediane OS betrug für die Patienten
im Kombinationsarm GEM/CAP 28,0
(95 %-KI 23,5–31,5) vs. 25,5 (22,7–27,9)
Monate im GEM-Arm (HR 0,82;
p
=
0,032). Noch deutlicher wurde der Un-
terschied nach einer längeren Zeit: Die
beiden Kurven beginnen nach ca. 2 Jah-
ren, sich zu trennen, und die Fünfjah-
resüberlebensraten betrugen 29 % im
Kombinationsarm, aber nur 16 % im
Gemcitabin-Arm (
.
Abb.
3 ). Insgesamt
gab es in den beiden Gruppen keine we-
sentlichen Unterschiede bezüglich der
Art und Schwere der Nebenwirkungen.
Zu schwerer Diarrhö (14 vs. 5 Patien-
ten), Neutropenie (38 % vs. 24 %), Hand-
Fuß-Syndrom (7 % vs. 0 %) und Fatigue
(16 vs. 14 Patienten) kam es allerdings
etwas häufiger mit jeweils signifikanten
Unterschieden im Kombinationsarm.
Die Lebensqualität war trotzdem in den
beiden Gruppen als vergleichbar erfasst
worden. Auf der Basis dieser Studie sollte
nach Ansicht der Autoren diese adjuvan-
te Kombinationstherapie aus Gemcitabin
und Capecitabin der Standard für Pa-
tienten nach einer Pankreasresektion
werden.
Metastasierte kolorektale
Karzinome
Primäre Lokalisation als
prognostischer Parameter
Eine retrospektive Analyse der CALGB/
SWOG-80405-Studie konnte zeigen, dass
dieLokalisationdesPrimärtumors inner-
halb des Kolons Hinweise auf das Überle-
ben gibt und bei der Auswahl der optima-
lenTherapie fürdenindividuellenPatien-
ten evtl. sogar helfen kann. Im der Ori-
ginalstudie der CALGB/SWOG-80405-
Studie waren Patienten mit fortgeschrit-
tenem/metastasiertemKolonkarzinom –
unselektiert imHinblick auf ihren
KRAS
-
Zustand –, die zunächst FOLFOX oder
FOLFIRI in der Erstlinientherapie beka-
men, randomisiert worden und erhielten
dann im Arm A zusätzlich zu der Che-
motherapie (CT) Cetuximab, im Arm B
CT + Cetuximab + Bevacizumab und im
Arm C CT + Bevacizumab. Aufgrund
neuerer Daten wurde diese Studie im Ju-
ni 2008 insofern ergänzt bzw. verändert,
dass die Patienten im Hinblick auf ihren
KRAS-Zustand selektiert erfasst wurden
und nur noch die mit
KRAS
-Wildtyp (wt;
Kodons 12 und 13) rekrutiert wurden.
Außerdemwurde der ArmB gestoppt, da
es nicht mehr sinnvoll war, zwei Biologi-
cals gleichzeitig einzusetzen. Vor 2 Jahren
während des ASCO2014 wurden die Da-
ten dieser Studie nach dem Amendment
präsentiert und zeigten bei den Patien-
ten mit
KRAS
wt (Kodons 12 und 13;
n
= 1137) weder im Hinblick auf das OS
noch auf das progressionsfreieÜberleben
(PFS) einen signifikanten Unterschied in
den beiden Armen mit Cetuximab bzw.
Bevacizumab (OS 29,9 vs. 29,0 Mona-
te; PFS 10,4 vs. 10,8 Monate;
[ 7 ]). Auch
bei der Analyse der Patienten mit allen
KRAS
-Wildtypen (
n
= 526) ergab sich
kein signifikanter Unterschied im Hin-
blick auf das OS (32,0 vs. 31,2 Mona-
te) und das PFS (11,4 vs. 11,3 Monate)
[ 8 ]. Somit ergaben beide Analysen kei-
nen Hinweis darauf, ob eine der beiden
Therapien besser sein würde.
In einer retrospektiven Analyse die-
ser CALGB/SWOG-80405-Studie wurde
Der Onkologe