

der erweiterten ALND gezeigt werden.
Eric Winer, Dana Farber Institut, Boston,
der Moderator des Vortrags führte die-
sen Effekt auch auf die stark verbesserten
systemischen Chemotherapien und Tech-
niken der Radiotherapie zurück.
Angiogenesehemmer
bei Ovarialkarzinom
Ein Hinzufügen des Angiogenesehem-
mers Bevacizumab (BEV) zur initialen
Chemotherapie und anschließende Er-
haltungstherapie mit BEV konnte in ei-
ner Phase-III-Studie bei Frauen mit fort-
geschrittenen Ovarialkarzinomen (Stadi-
um III und IV) die Krankheitsprogressi-
on verzögern [$#]. Nach der Primärope-
ration wurden $+"( Frauen randomisiert
und nach einem der ( folgenden Proto-
kolle behandelt:
F
) Zyklen Paclitaxel/Carboplatin plus
Placebo Zyklen '–'' (Arm $),
F
) Zyklen Paclitaxel/Carboplatin plus
Bevacizumab Zyklen '–), Plazebo
Zyklen "–'' (Arm '),
F
) Zyklen Paclitaxel/Carboplatin plus
Bevacizumab Zyklen '–) plus Erhal-
tungstherapie mit Bevacizumab Zy-
klen "–'' (Arm ().
Wegen der Blutungsgefahr nach der Ope-
ration wurde in den Armen II und III
erst in Zyklus ' mit Bevacizumab begon-
nen. Nach einem medianen Follow-up
von rund $" Monaten zeigte sich in Arm
( mit bis zu $# Monaten Bevacizumab-
Erhaltungstherapie ein statistisch signifi-
kant längeres progressionsfreies Überle-
ben (PFS) von median $%,$ Monaten im
Vergleich zur alleinigen Standardchemo-
therapie (Arm I, PFS=$#,( Monate). Bei
Kombination von Chemotherapie und
Bevacizumab ohne Bevacizumab-Erhal-
tung war kein signfikanter Unterschied
zur alleinigen Chemotherapie erkennbar
(PFS $$,' Monate).
Hypertonie der Grade III und IV ent-
wickelte sich mit Bevacizumab, insbe-
sondere bei Erlaltungstherapie, deutlich
häufiger (&,% und $# vs. $,)*). Auch zu
Perforationen, Blutungen oder Fistelbil-
dungen ≥Grad ( kam es bei mehr Patien-
tinnen (',) bzw. ',( vs. #,+*). Unter Be-
vacizumab-Erhaltung wurde außerdem
häufiger Proteinurie ≥Grad ( beobachtet,
was auf eine Glomerulonephritis hinwei-
sen kann. Angesichts der bekannten Ne-
benwirkungen von Bevacizumab soll-
te mit den Patientinnen sehr individuell
besprochen werden, ob diese Erhaltungs-
therapie als Behandlungsoption in Erwä-
gung zu ziehen ist. Festzuhalten bleibt,
dass erst die Erhaltungstherapie mit Be-
vacizumab und nicht schon die Zugabe
des Antikörpers zur Chemotherapie zu
einer Verlängerung des PFS führte und
dass sich die entsprechenden Kaplan-
Meier-Kurven für die ( Arme nach Be-
endigung der Erhaltungstherapie wieder
annähern (
.
Abb. 2
).
Cetuximab ohne Nutzen bei
kolorektalen Karzinomen
im Stadium III
FOLFOX ist eine der adjuvanten Stan-
dardtherapien für das Stadium III des ko-
lorektalen Karzinoms. Bei metastasierten
kolorektalen Karzinomen mit demWild-
typ des
K-RAS
-Onkogens kann Studien
zufolge die Kombination aus Cetuximab
und FOLFOX das Überleben verlängern.
Dies war die Rationale für eine Studie, die
untersuchen sollte, ob auch Patienten im
Stadium III von dieser Kombination pro-
fitieren. In der Phase-III-Studie wurden
krankheitsfreies und Gesamtüberleben
bei Patienten im Stadium III mit
K-RAS
-
Wildtyp verglichen, die adjuvant entwe-
der mit FOLFOX (n=+&+) oder mit FOL-
FOX plus Cetuximab (n=,#') behandelt
worden waren [$$]. Bei der geplanten In-
terimsanalyse zeigte sich kein Vorteil für
die Zugabe von Cetuximab. Das krank-
heitsfreie Überleben (DFS) war in den
beiden Gruppen nahezu gleich ("%,$*
mit FOLFOX vs. "(,(* mit der Kombi-
nation). Unter FOLFOX allein war das
Gesamtüberleben sogar etwas besser.
Zu moderaten und schweren Nebenwir-
kungen kam es mit Cetuximab deutlich
häufiger, weshalb in dieser Gruppe we-
niger Patienten alle geplanten Therapie-
kurse erhalten konnten. Aufgrund dieser
Interimsanalyse wurde die Studie vorzei-
tig abgebrochen.
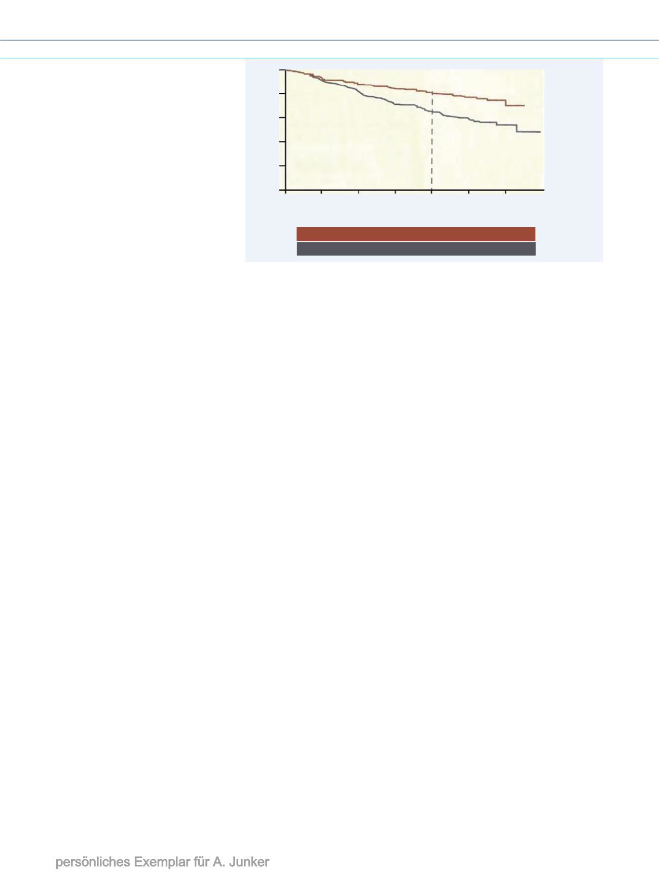
Erhaltungstherapie mit Rituximab
halbiert das Rückfallrisiko bei
follikulären Lymphomen
Rituximab-Erhaltungstherapie über
' Jahre reduzierte in einer internatio-
nalen Phase-III-Studie bei Patienten
mit follikulären Lymphomen (FL), die
auf die initiale Chemotherapie ange-
sprochen hatten, das Risiko eines Rück-
falls um &#* ([$'],
.
Abb. 3
). Der Lei-
ter der Studie, Gilles Salles, Lyon, wies
darauf hin, dass es bei diesen Lympho-
men nach ( bis ) Jahren häufig zu Rück-
fällen kommt. In der Studie erhielten Pa-
tienten mit FL der Stadien III und IV, die
auf eine rituximabhaltige Induktionsthe-
rapie angesprochen hatten, entweder für
' Jahre Rituximab als Erhaltungsthera-
pie (n=&#&) oder keine weitere Behand-
lung (n=&$(). Nach einemmedianen Fol-
low-up von '& Monaten war es in der Ri-
tuximabgruppe bei $+* der Patienten
zu einer Progression gekommen, in der
1,0
0,8
0,6
0,4
0,2
0
Strati!zierte HR = 0,50
95% KI 0,39; 0,64
82%
p < 0,0001
66%
Rituximab-
Erhaltungstherapie
505 Patienten
Beobachtung
513 Patienten
Zeit (Monate)
0
6
12
18
24
30
36
Risikopatienten
Progressionsfreie Rate
505
513 469
411
289
195
82
15
472
443
336
230
103
18
Abb. 3
8
Rituximab-Erhaltungstherapie: signifikant verringertes Progressionsrisiko.
HR
Hazard Ratio,
KI
Konfidenzintervall
807
Der Onkologe 8 · 2010
|