

en besser wirksam gewesen als IL-'. Die
Patienten, die in der aktuellen Studie nur
die Vakzine erhalten hatten, überlebten
imMedian noch ),& Monate – vergleich-
bar mit Placebo in früheren Studien –,
die Patienten in den Ipilimumabarmen
dagegen median $# Monate. Das Zwei-
jahresüberleben betrug '%* bzw. ''*
mit Ipilimumab und $%* mit der Vakzi-
ne allein (
.
Abb. 1
). Außerdem wurde
mit Ipilimumab eine bessere Krankheits-
kontrolle erreicht: Nach ) Monate wa-
ren (#* der Patienten ohne Progress im
Vergleich zu $$* im Vakzinearm. Ipili-
mumab wurde insgesamt gut vertragen.
In $#–$%* kam es allerdings zu schweren
Nebenwirkungen wie Rash und Darm-
entzündungen im Vergleich zu nur (* in
der Vakzinegruppe.
Mammakarzinome
Neue Therapieoption bei
metastasierter Erkrankung nach
Anthrazyklinen und Taxanen
Eine Phase Monotherapie mit dem neu-
en Zytostatikum Eribulinmesylat verlän-
gerte in einer Phase-III-Studie bei Frau-
en mit lokal fortgeschrittenem oder me-
tastasiertem Brustkrebs das Gesamtüber-
leben um ',& Monate, selbst nach inten-
siver Vorbehandlung ["]. Eribulinmesyl-
at ist ein nichttaxanähnlicher Hemmstoff
der Mikrotubuli, der aus einem Meeres-
schwamm gewonnen wird. In der inter-
nationalen multizentrischen Studie wur-
den ")' Patientinnen randomisiert und
erhielten entweder Eribulin (E; n=&#+)
oder sie wurden nach freier Wahl des je-
weiligen Arztes behandelt (n='&%), mehr-
heitlich mit einer alternativen Chemothe-
rapie. Das mediane Überleben in der Eri-
bulingruppe war signifikant länger: $(,$
vs. $#," Monate (p=#,#%), die Gesamtan-
sprechrate höher ($'* vs. &*, p=#,##&).
An Grad-III/IV-Nebenwirkungen kam
es unter Eribulin zu Asthenie/Fatigue
(",)*), Neutropenie (%%*) und peri-
pherer Neuropathie (+,%*). Schwere Ne-
benwirkungen entwickelten $'* der Pa-
tientinnen mit Eribulin gegenüber "* in
der Vergleichsgruppe. Studienmit Einsatz
der neuen Substanz in Kombinationsthe-
rapien sind bereits angelaufen.
Brustkrebs kann seine
Biologie verändern
In einer retrospektiven Studie bei metas-
tasiertem Brustkrebs wurde gezeigt, dass
sich die biologischen Charakteristika des
Primärtumors wie Östrogen-, Progeste-
ron- und HER'-Status oft verändert ha-
ben, wenn der Krebs in der Leber Me-
tastasen gestreut hat [+]. Dieser Wech-
sel der Biologie führte in $'* der unter-
suchten Fälle zu einer notwendigenÄnde-
rung der Therapie, die üblicherweise bei
Auftreten eines Rezidivs gemäß der Biolo-
gie des Primärtumors erfolgt. Bei '&& Pa-
tientinnen mit metastasiertem Brust-
krebs ergab der Vergleich der Biopsieer-
gebnisse des Primärtumors und der auf-
getretenen Lebermetastasen hinsichtlich
Östrogenrezeptor- (ER-), Progesteronre-
zeptor- (PgR-) undHER'-Status eine Ver-
änderung des ER-Status in $%,&*, des PgR-
Status in %+,)* und des HER'-Status in
$(,,* der Fälle. Die Resultate dieser Un-
tersuchung sollten dazu führen, dass eine
Biopsie von Lebermetastasen durchge-
führt wird, wann immer dies möglich ist,
resümierte Giuseppe Curigliano, Mailand,
ein Koautor der Studie. Falls Jahre nach
der Primärerkrankung rezidivbedingt ei-
ne erneute Therapie notwenig wird, sollte
diese auf jeden Fall der aktuellen Tumor-
biologie angepasst werden.
Genügt die Entfernung befallener
Sentinellymphknoten?
In den letzten Jahren ist es zum Standard
in der Brustkrebschirurgie geworden, die
axillären Lymphknoten nur dann zu ent-
fernen, wenn Wächterlymphknoten be-
fallen sind. Ist dies nicht der Fall, wird
auf eine komplette Entfernung der axil-
lären Lymphknoten (ALND) verzich-
tet. Bei befallenen Wächterlymphkno-
ten ist die ALND dagegen weiterhin der
Goldstandard. Die ALND führt zu ver-
besserter lokaler Kontrolle, aber ein Ef-
fekt auf das Gesamtüberleben blieb bisher
unsicher. Diese Fragestellung wurde nun
in der bisher größten Phase-III-Studie zu
diesem Thema untersucht: Klinisch als
N# kategorisierte Patientinnen mit T$-
oder T'-Tumoren wurden einer Biop-
sie der Wächterlymphknoten unterzogen
[,]. Bei Befall von $ oder ' Sentinellym-
phknoten wurden sie nach Tumorentfer-
nung randomisiert für ALND oder Ent-
fernung nur der befallenen Wächterlym-
phknoten (SNB). Alle Patientinnen er-
hielten eine adjuvante Strahlentherapie, je
nach Situation auch eine adjuvante Che-
motherapie. Nach & Jahren war es in der
ALND-Gruppe bei (,"* der Patientinnen
zu einem Rückfall gekommen, im Ver-
gleich zu ',$* in der SNB-Gruppe – kein
signifikanter Unterschied (p=#,$)). Auch
die Rückfallrate in der Axilla (#,)* vs.
$,(*, p=#,$)), das Gesamtüberleben nach
& Jahren (,$,,* vs. ,',&*, p=#,'%) und
das krankheitsfreie Überleben (+','* vs.
+(,+*, p=#,$() unterschieden sich in den
beiden Gruppen nicht. In dieser Studie
konnte demnach kein klinischer Nutzen
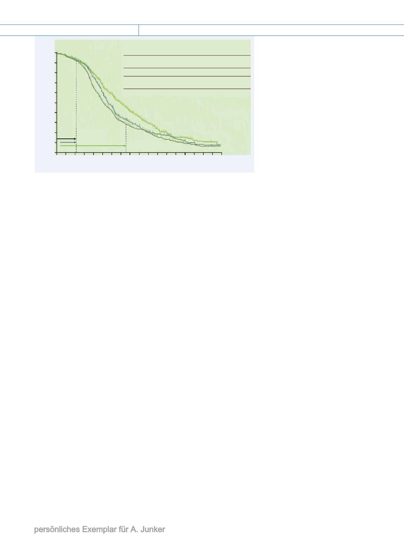
CP (Arm I)
Arm I
CP
(625 Patienten)
Arm II
CP + BEV
(625 Patienten)
+ BEV (Arm II)
+ BEV
BEV-Erhaltungstherapie (Arm III)
Arm III
CP + BEV
BEV
(623 Patienten)
Monate nach Randomisierung
0
12
24
36
a
Signi!kanzgrenze p-Wert 0,0116
Patienten mit progressionsfreiem Überleben (Anteil)
0
0,1
0,2
0,3
0,4
0,5
0,6
0,7
0,8
0,9
1,0
Patienten mit Ereignis (%)
423
(67,7)
418
(66,9)
0,908
(0,759–1,040)
0,717
(0,625–0,824)
360
(57,8)
PFS, Median (Monate)
10,3
11,2
0,080
a
<0,0001
a
14,1
HR nach strati!zierter Analyse
(95%-KI)
Einseitiger p-Wert (Log-Rank-
Test)
Abb. 2
8
Patienten mit progressionsfreiem Überleben.
HR
Hazard Ratio,
KI
Konfidenzintervall,
PFS
pro-
gressionsfreies Überleben
806 |
Der Onkologe 8 · 2010
Aktuelle Onkologie