Dr. Annette Junker - Medizinjournalistin, Qualitätsberatung, Medical Management - page 6

Prostatakarzinome
Chemotherapie plus
Hormontherapie verlängert das
Überleben bei Metastasierung
Durch primäre Kombination von antihor-
moneller und Chemotherapie bei Män-
nern mit metastasiertem Prostatakarzi-
nom ist einer auf der Tagung vorgestell-
ten Phase-III-Studie zufolge eine deutli-
che Verlängerung des Gesamtüberlebens
erreichbar [14]. Von Juli 2006 bis Novem-
ber 2012 waren 790 Männer für alleinigen
Androgenentzug (ADT) oder zusätzliche
Gabe von maximal 6 Zyklen Docetaxel
randomisiert worden. Eine Stratifizierung
erfolgte nach der Tumorlast in „high volu-
me“ (viszeraleMetastasen und/oder mehr
als 4 Skelettmetastasen) und „low volu-
me“. Primärer Endpunkt der Studie war
das Gesamtüberleben, sekundäre End-
punkte Zeit bis zur Progression (PD) und
Zeit bis zur symptomatischen PD. Nach
einer Nachbeobachtungszeit von 29 Mo-
naten waren imKombinationsarm 101 Pa-
tienten verstorben, imADT-Arm 136. Mit
ADT/Docetaxel überlebten die Patienten
median 13 Monate länger als mit ADT al-
lein (57,6 vs. 44 Monate; HR 0,61; 95%-
CI 0,47–0,80; p=0,0003). Ein noch deutli-
cherer Vorteil der Kombinationstherapie
zeigte sich bei hoher Metastasenlast mit
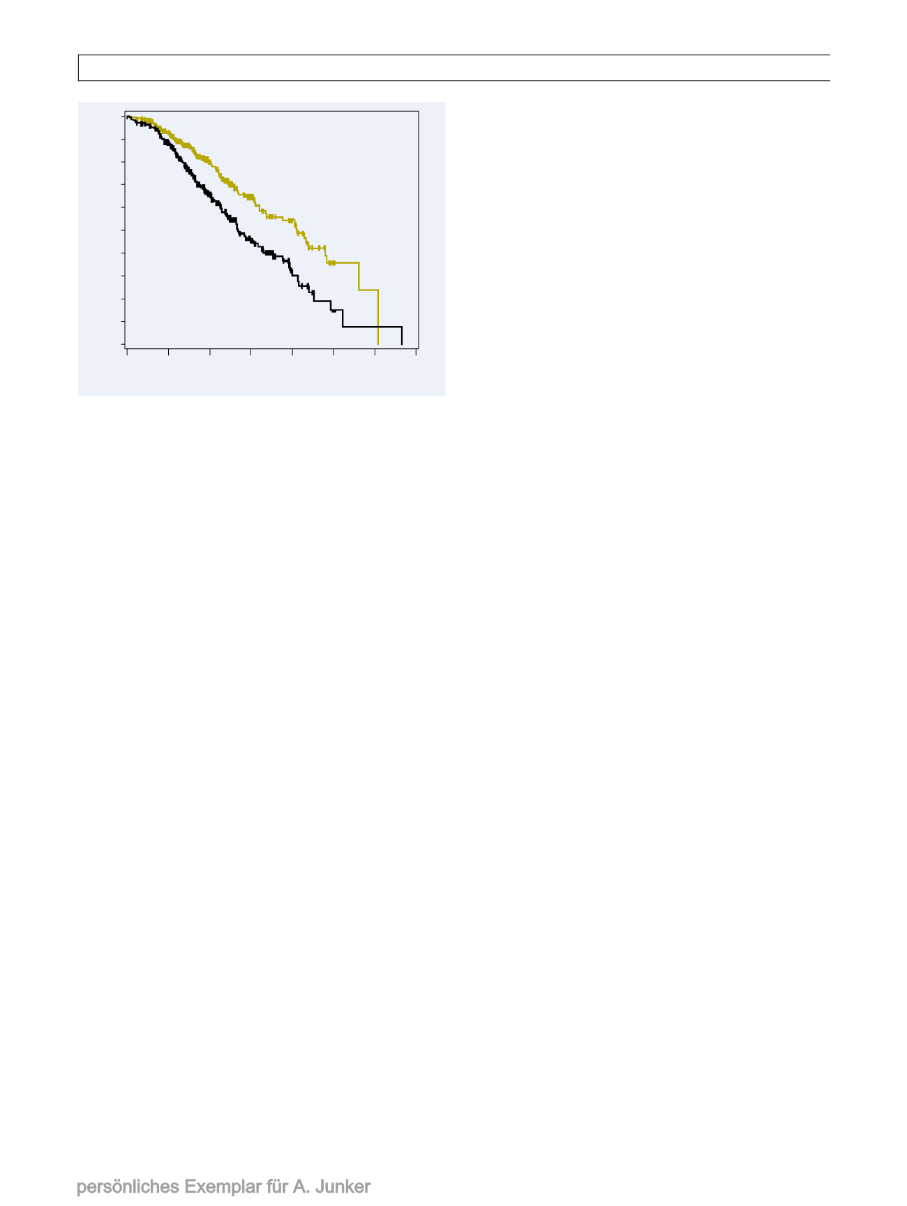
einem medianen OS von 49 vs. 32 Mona-
te (HR 0,60; 95%-CI 0,45–0,81; p=0,0006;
.?
Abb. 3
). Auch die Zeit bis zur Progres-
sion und zur Kastrationsresistenz war je-
weils im Kombinationsarm sig nifikant
länger als imADT-Arm (32,7 vs. 19,8 Mo-
nate; p<0,0001 bzw. 20,7 vs. 14,7 Monate,
p<0,0001). Mit der Kombination kam es
in 6% zu febrilen Neutropenien, ein Pa-
tient starb aufgrund der Behandlung. Mi-
chael Morris, NewYork, sprach sich in sei-
ner Diskussion der Studie dafür aus, zu-
mindest Patienten mit hoher Metastasen-
last primär mit der Kombination zu be-
handeln. Für eine generelle Empfehlung
reiche die Datenlage bei noch relativ kur-
zem Follow-up nicht aus.
Bei PSA-Rückfall nicht zu
schnell mit Androgen-Ent-
zugstherapie reagieren
Eine auf Daten des Prostatakrebsregisters
der Strategic Urologic Research Endeavor
(CaPSURE) gestützte Analyse spricht da-
für, dass es bei Wiederanstieg des PSA-
Werts nach einer Operation oder Be-
strahlung das Gesamtüberleben nicht ge-
fährdet, wenn nicht sofort eine Androgen-
Entzugstherapie (ADT) erfolgt [13]. Aus-
gewertet wurden die Verläufe von 2012 Pa-
tienten, die nach einer radikalen Prostat-
ektomie oder Bestrahlung mit kurati-
ver Intention einen PSA-Rückfall erfuh-
ren (=0,2 ng/ml, asymptomatisch, keine
Fernmetastasen). In einer „Immediate“-
Gruppe wurde innerhalb von 3 Monaten
nach demPSA-Rückfall eine ADT-Thera-
pie begonnen, in der „verzögerten“ Grup-
pe erst später bei Auftreten von Sympto-
men, Metastasen, kurzer PSA-Verdopp-
lungszeit oder mindestens 2?Jahre nach
der PSA-Progression.
Nach einem medianen Follow-up von
41 Monaten waren insgesamt 176 Patien-
ten verstorben, 37 aufgrund von Prostata-
krebs. Die geschätzten Fünfjahresüberle-
bensraten in den beiden Gruppen unter-
schieden sich nicht (87,2% in der verzö-
gerten vs. 85,1% in der Immediate-Grup-
pe). Für die Praxis bedeutet dies, so die
Autoren, dass viele der verzögert behan-
delten Männer 2?Jahre oder länger mit
deutlich besserer Lebensqualität überleb-
ten, d. h. ohne die Nebenwirkungen einer
ADT wie sexuelle Dysfunktion, Osteo-
porose, erhöhtes Risiko für Knochenfrak-
turen, Hitzewellen, Fatigue bis hin zu De-
pressionen und Einschränkungen der ko-
gnitiven Fähigkeiten. Es ist allerdings bei
dieser Beobachtungsstudie nicht auszu-
schließen, dass ärztliches Verhalten, Er-
nährung, Blutdruck u. a. das Ergebnis be-
einflusst haben könnten. Eine valide Ent-
scheidungshilfe wird von einer laufenden
Phase-III-Studie erwartet, die die gleiche
Fragestellung prospektiv untersucht.
Palliative Care
Betreuende Angehörige
profitieren von frühzeitiger
professioneller Unterstützung
Das Wohlergehen von Krebspatienten
und Familienangehörigen mit ihrer wich-
tigen Rolle im Betreuungsteam beeinflus-
sen sich gegenseitig. Dabei erfahren die
Angehörigen in ihrer schwierigen Situa-
tion oft zu wenig Unterstützung. Eine Stu-
die (ENABLE: Educate, Nurture, Advise
Before Life Ends) untersuchte den Effekt
von frühzeitiger vs. spätere professionel-
le Intervention auf das Befinden der fa-
miliären Betreuer [14]: 207 Patienten mit
rezidivierter oder metastasierter Krebs-
erkrankung und 122 von diesen benannte
Angehörige erhielten entweder frühzeitig
oder erst nach 3 Monaten zunächst einen
persönlichen Besuch zur Beurteilung der
Situation und Erläuterung der Möglich-
keiten in einem Gespräch. Danach wur-
den die pflegenden Angehörigen durch
speziell geschulte Pflegende in regelmäßi-
gen Abständen entsprechend einem da-
für entwickelten Curriculum telefonisch
zum Umgang mit den verschiedensten
Themen/Problemen der individuellen Si-
tuation beraten. Die vergleichenden Aus-
1,0
0,9
0,8
0,7
0,6
0,5
0,4
0,3
0,2
0,1
0
12
24 36
48 60
72
84
0,0
Gesamtüberleben (Monate)
Wahrscheinlichkeit
Wahrscheinlichkeit
p=0,0006
HR=0,60 (0,45–0,81)
Median Gesamtüberleben:
TS + Doc: 49,2 Monate
TS alleine 32,2 Monate
Abb. 3
9
Bei Patienten
mit einer großvolumi-
gen metastasierten Er-
krankung verlängert
eine Testosteronsup-
pression plus Doceta-
xel das mediane Über-
leben um 17 Monate.
Doc
Docetaxel,
TS
Tes-
tosteronsuppression.
(Nach [14])
886 |
Der Onkologe 9 · 2014
Onkologiekongresse
1,2,3,4,5 7,8
Powered by FlippingBook