Dr. Annette Junker - Medizinjournalistin, Medical Management - page 4

unter Trastuzumab reduzierte in der ran-
domisierten BOLERO-3-Studie die Zuga-
be des m-TOR-Inhibitors Everolimus zu
einemwöchentlichen Trastuzumab/Vino-
relbin-Regime das Progressionsrisiko um
22% (HR 0,78, 95%-KI 0,65–0,95, p<0,01;
[6]). Die 569 Patientinnen im medianen
Alter von 54?Jahren hatten zuvor bereits
Trastuzumab (100%), ein Taxan (100%)
und Lapatinib (28%) erhalten. Bei 76%
lagen viszerale Metastasen vor. Im Ever-
olimus-Kombinations-Arm betrug die
Zeit bis zur Progression median 7 Mo-
nate vs. 5,8 Monate in der Placebogruppe
(
.?
Abb. 2
). Unter dem mTOR-Inhibitor
kam es zu Neutropenien, Stomatitis, An-
ämie, Leukopenie und Fatigue.
Offensichtlich ist also eine Hemmung
des m-TOR-Signalwegs auch bei Frau-
en mit HER
+
-Brustkrebs wirksam – hier
in der Kombination mit Chemotherapie
und einemHER2-Inhibitor. Bereits in der
BOLERO-2-Studie hatte sich dies für die
Kombination mit Exemestan gezeigt [7].
In dieser Studie waren durch Everolimus
hervorgerufene Stomatitiden überwie-
gend mild oder moderat verlaufen [8],
ebenso die nichtinfektiösen Pneumonien,
zu denen es manchmal kommt [9]. Ferner
deuten Ergebnisse einer Analyse der Kor-
relation spezifischer Genveränderungen
mit der Wirksamkeit von Everolimus da-
rauf hin, dass eine – mit 76% große – Sub-
gruppe von Patientinnen der BOLERO-2-
Studie mit minimalen Veränderungen im
PI3K- oder FGFR-Signalweg den größten
Nutzen von der Zugabe des mTOR-Inhi-
bitors zu Exemestan hatten. Somit könnte
auch für diese Behandlung mit Hilfe von
prädiktiven Biomarkern eine personali-
sierte Therapie in Reichweite sein [10].
Axilläre Bestrahlung –
vergleichbare Krankheitskontrolle
wie Entfernung der Lymphknoten
und weniger Lymphödeme
In der europäischen Phase-III-Studie
AMAROS führten axilläre Radiothera-
pie (ART) und Lymphknotendissektion
(ALND) bei Frauen mit frühem Brust-
krebs und Befall des Wächterlymphkno-
tens zu vergleichbarem krankheitsfreiem
Überleben und Gesamtüberleben. Aller-
dings kam es nach Operation doppelt so
häufig zu Lymphödemen [11]. Insgesamt
wurden 4806 Patientinnen mit Tumoren
bis 5 cm in die Studie aufgenommen. Bei
positivem Sentinellymphknotenbefund
erfolgte die Randomisierung für ALND
(n=744) oder ART (n=681). Die Rück-
fallraten nach 5?Jahren waren in beiden
Armen sehr gering (0,54% für ALND
vs. 1,03% für ART). Das Gesamtüberle-
ben nach 5?Jahren unterschied sich nicht
(92,5% vs. 93,3%). Allerdings entwickelten
in den ersten 5?Jahren nach der Behand-
lung 40% der Patientinnen im ALND-
Arm Lymphödeme gegenüber nur 22% in
der ART-Gruppe. Bei abnehmender Inzi-
denz in den Folgejahren blieb es bei dem
Trend zugunsten der ART: Im 5.?Jahr be-
trugen die Raten 28% vs. 14%. Bei dieser
Patientenklientel könnte somit die axillä-
re Bestrahlung eine gleichwertige Option
mit weniger Nebenwirkungen darstellen,
resümierten die Autoren.
Paclitaxel-Chemotherapie-
protokolle – wöchentlich hat
weniger Nebenwirkungen
Eine randomisierte Phase-III-Studie ver­
glich bei Brustkrebspatientinnen mit
N(+) oder Hochrisiko-N(-) im An-
schluss an eine postoperative adriamy-
cinhaltige Kombinationschemotherapie
zwei verschiedene Paclitaxel-Protokolle:
alle 2 Wochen 175 mg/m
2
über 6 Zyklen
mit Peg-Filgastrim-Support oder 12-mal
wöchentlich 80 mg/m
2
ohne Peg-Filgast-
rim. Die progressionsfreie Überlebensra-
te nach 5?Jahren war in beiden Gruppen
gleich (82% vs. 81%). Aber die Nebenwir-
kungen unterschieden sich: Das zweiwö-
chentliche Regime führte häufiger zu All-
ergien, Knochenschmerzen und schmerz-
haften Polyneuropathien. Dafür kam es
beim wöchentlichen Regime zu mehr hä-
matologischer Toxizität, was aber sicher
auch mit dem fehlenden Peg-Filgastrim-
Support zusammen hängt. Da besonders
die Knochenschmerzen und die Polyneu-
ropathien die Patientinnen stark belasten,
favorisieren die Autoren das wöchentli-
che Regime.
Neues zumBronchialkarzinom
Verlängertes progressionsfreies
Überleben mit Afatinib
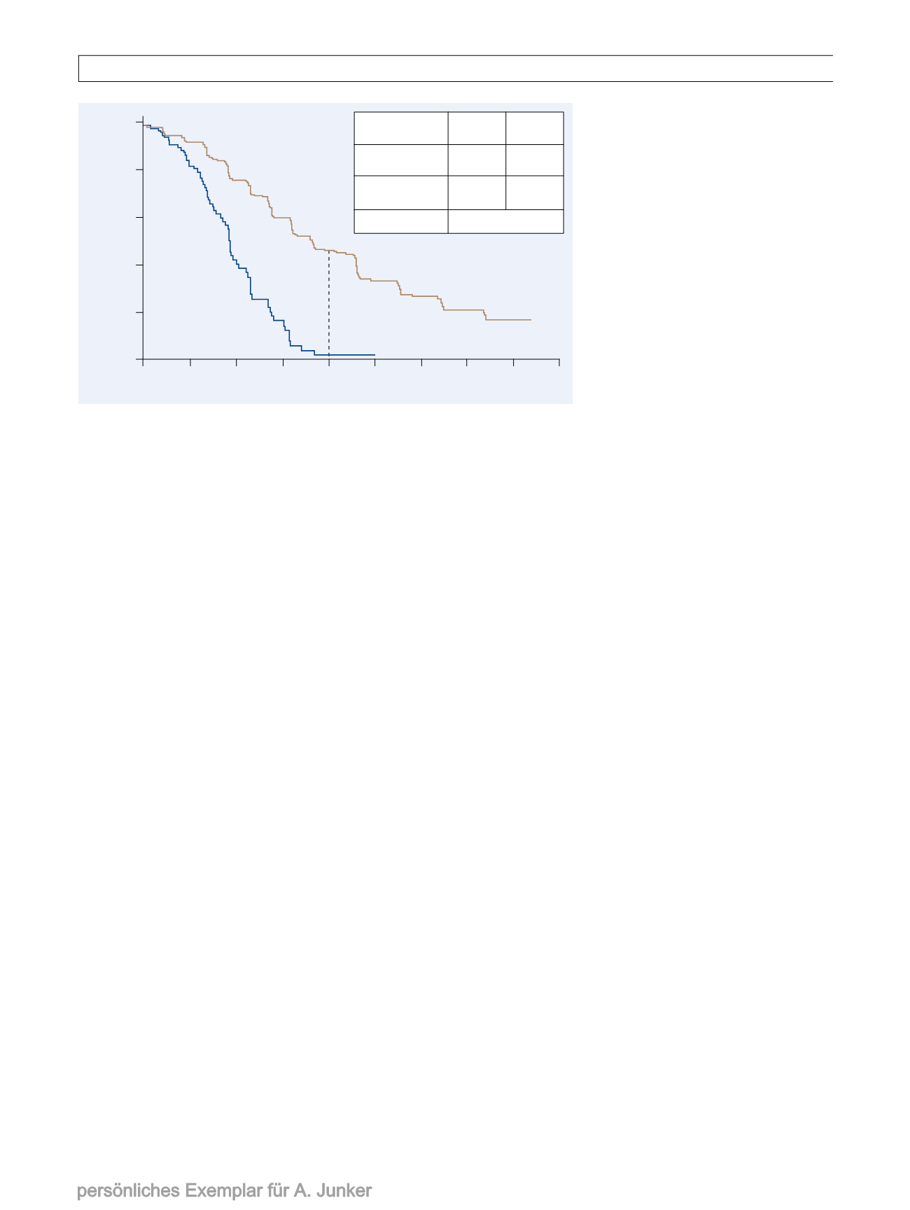
In der LUX-Lung-6-Studie wurden 364
NSCLC-Patienten (Stadium IIIB/IV) für
Erstlinientherapie mit täglich 40 mg Afa-
tinib oral oder Gemcitabin/Cisplatin ran-
domisiert [12]. Mit Afatinib lebten die Pa-
tienten fast ein halbes Jahr länger pro-
gressionsfrei. Das durch ein unabhängi-
ges Gremium bestimmte progressions-
freie Überleben betrug 11,0 vs. 5,6 Monate
(HR 0,28, p<0,0001;
.?
Abb. 3
).
Objektive Ansprechraten (66,9% vs.
23%, p<0,0001) und Krankheitskontrol-
le (92,6% vs.76,2%, p<0,0001) waren im
11,0
47
HR=0,28; p<0,0001
Afatinib*
n=242
Gem/Cis
n=122
Monate
(median)
Monate
PFS-Rate (%) nach
12 Monaten
2
5,6
1,0
0,8
0,6
0,4
47%
2%
0,2
0,0
Progressionsfreies Überleben
(Wahrscheinlichkeit)
0
3
6
9
12
15
18
21
24
27
Abb. 3
8
Das progressionsfreie Überleben, bestimmt von unabhängigen Review-Experten, ist im Afa-
tinib-Arm fast doppelt so lang wie im Kontroll-Arm [14]
889
Der Onkologe 10 · 2013
|
1,2,3 5,6,7
Powered by FlippingBook